Skip to main content

Quinonas heterocíclicas sintéticas con actividad antimicrobiana

Ciencias de la Salud

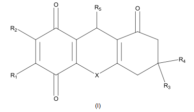
La presente invención se refiere a una familia de compuestos sintéticos, derivados quinónicos fusionados a heterociclos. También se recoge en la invención su uso para la fabricación de medicamentos y para el tratamiento de enfermedades infecciosas de origen bacteriano, particularmente para bacterias gran positivas.

Inventores de la Universidad de La Laguna

  • Información de la patente
  • Número de patente: P201132080
  • Fecha prioridad: 22/12/2011
  • Estado: Sin licenciar
  • Documento original